Swap-nodes-in-pairs
https://leetcode.com/problems/swap-nodes-in-pairs/
Description
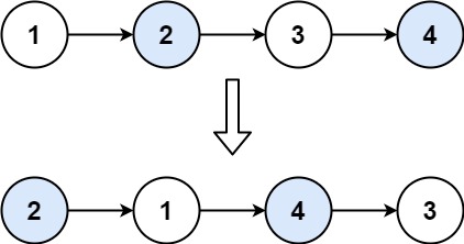
Input: head = [1,2,3,4]
Output: [2,1,4,3]Input: head = []
Output: []Input: head = [1]
Output: [1]Solution & follow up
solution
follow up
最后更新于
